Skip to content Skip to sidebar Skip to footer

45 labels for division problems

Fair Division | Brilliant Math & Science Wiki Suppose the vertices along the side connecting 1 1 and 2 2 have labels either 1 1 or 2 2, the vertices along the side connecting 2 2 and 3 3 have labels either 2 2 or 3 3, the vertices along the side connecting 1 1 and 3 3 have labels either 1 1 or 3 3, and the vertices in the interior are labeled by any one of 1,2, 1,2, or 3 3. Multiplication and Division Word Problems (Ages 7 - 9) Word problems are a type of mathematical question children will be asked throughout primary school. It is often used as an example of when we use maths in real life situations. Word problems give context to a learning activity and can be introduced as early as EYFS. For example, rather than asking a child to count the apples, simply ask "How ...

Label a division problem - Qmiart Label a division problem Division How To Label A Division Problem The divisor is the number you are dividing by or how many equal groups you will create. The quotient is the answer to a division problem. It is how 201 Specialists 94% Satisfaction rate 16270 Orders Deliver Clients said Leo Parker

Labels for division problems

Labels for division problems

Multiplication and Division Word Problems Labels - Twinkl Use this set of challenge stickers to reinforce Year 2 multiplication and division questions. Great to use as an opening, finishing or take home activity to, this assortment of challenges comes in three different printable sizes to fit Avery labels - 21, 14 and 7 per A4 page. The above video is from a third-party source. Parts Of A Division Problem Teaching Resources | TPT - TeachersPayTeachers This set will help students remember the vocabulary associated with a basic division problem!⭐WHAT'S INCLUDED: 24 task cards in color identifying dividend, divisor and quotient 24 task cards in ink saving black and white identifying dividend, divisor and quotient (same problems as the set in color) Recording sheet Answer Key Poster for … How to Solve Division Problems – Math Blog for Differentiation There are three main parts to a division problem: the dividend, the divisor, and the quotient. The dividend is the number that will be divided. The divisor is ...

Labels for division problems. Division Worksheets | Free and Printable The 3-digit by 1-digit division worksheets comprise a variety of standard division problems and division word problems involving remainders and no remainders, divide and check the answers as well. 3-digit by 2-digit Division. This collection of 3-digit by 2-digit division worksheets features PDFs to find the quotient and remainder. Results for math journal problems for labels - TPT Results 1 - 24 of 210+ ... Browse math journal problems for labels resources on Teachers Pay Teachers, ... subtraction, multiplication, division, and estimating. Division Tables Labels - Teaching Ideas Division Tables Labels · Downloads: · Comments · Junior Emoji Puzzles · The Division Pack · Division Word Problems · Division Tables Tests. Sustainability labels could solve Bay Street's greenwashing problem ... Faced with accusations of greenwashing, a group comprising Canada's big banks and financial institutions is working on a new set of labels to clearly identify "green" financial products for investors. The federal government, technical experts and 25 banks, insurance companies and pension funds holding $10 trillion in assets are at work on what they call science-based "sustainability labels ...

Label a division problem | Easy Mathematic The divisor is the number you are dividing by or how many equal groups you will create. The quotient is the answer to a division problem. It is how many objects are in one of the equal groups. The remainder is the amount that. 654 Math Specialists. 96% Recurring customers. 28499+ Completed orders. Division Word Problem Challenge Cards (teacher made) - Twinkl These division challenge cards are a wonderful resource to use in station teaching or for early finishers to challenge themselves. For more engaging division challenges for your children, why not check out this Multiplication and Division Crossnumber Activity ? Labeling the parts of a division number sentence! - Blogger Labeling the parts of a division number sentence! We are going to continue to work with students to label all of the parts of their division number sentences correctly - you can help at home by ensuring that your students are doing this often, and that they discuss division using these vocabulary words as they do so! Ms. Fraser How to Label a Division Problem : Mathematics: Division & More How to Label a Division Problem : Mathematics: Division & More - YouTube 0:00 / 2:06 How to Label a Division Problem : Mathematics: Division & More eHowEducation 293K subscribers...

The parts of division - mathwizz.com Division has 4 parts: divisor, dividend, quotient and remainder. Here are where they fit. Arithmetic Help What do you need help with? Click on one of the following topics... Adding numbers Carrying numbers when adding Subtracting numbers Borrowing numbers Multiplying numbers Carrying numbers when multiplying Dividing numbers What are the names of the parts of a division problem? Each of the terms used in division are explained below: 1 The number which is divided is called the dividend. 2 The number which divides is called the divisor. 3 The number which is the result of the division is called the quotient. 4 If there is any number left over, it is called the remainder. More What is the answer called in a division sum? Label division problem | Qmiart Label division problem - Label a division problem The answer is 5. 20 divided by 4 = 5. Signs for Division There are a number of signs that people may use to indicate division. Label a division problem | Math Solver Online Label Parts of a division problem Quiz Each of the terms used in division are explained below: 1 The number which is divided is called the dividend. 2 The number which divides is called the divisor. 3 The 446 PhD Experts 14 Years in business 45775+ Clients Get Homework Help

Lecture 3: Reading Medication Labels and Basic Dosage ...

Lecture 3: Reading Medication Labels and Basic Dosage ...

Label division problem | Easy Mathematic How to Solve Division Problems - Math Blog for Differentiation. Step 3: S for Subtract. Now we subtract 15 from 15. 15 - 15 = 0. There is no need for step 4. We have finished the problem. Once you have the answer, do the problem in reverse using multiplication (5 x 13 = 65) to make sure your answer

Math Quiz and Picture. Division Diagram Label the parts ...

Math Quiz and Picture. Division Diagram Label the parts ...

Lesson 2: Put a Label on That Number! - Beginnings Publishing For years now, you have been solving math problems. ... the result of a real problem. ... first we have to learn about multiplying and dividing with labels.

How To Label A Division Problem | Math | ShowMe

How To Label A Division Problem | Math | ShowMe

Division Basics - Kids Math - Ducksters Kids learn about the basics of division including divisor, dividend, quotient, and remainder. Example problems.

How to Print Labels | Avery.com

How to Print Labels | Avery.com

Properties of Division Lesson - GreeneMath.com The quotient is the result of the division operation. In our first example, we looked at the division problem 12 ÷ 3 = 4. 12 - Dividend 3 - Divisor 4 - Quotient Example 4: Label the parts of the division problem. 20 ÷ 10 = 2 20 - Dividend 10 - Divisor 2 - Quotient Division is not Commutative We saw that multiplication and addition are ...

Sterilite Drawer Labels (Editable) by Teaching in Paradise | TPT

Sterilite Drawer Labels (Editable) by Teaching in Paradise | TPT

Label a division problem | Math Help Description This activity gives students the opportunity to label a division problem with key vocabulary - divisor, dividend, quotient and remainder. It gives an example of the division 612 Teachers 11 Years in business How to Solve Division Problems - Math Blog for Differentiation

KS1 Multiplication and Division Word Problems Sticky Labels

KS1 Multiplication and Division Word Problems Sticky Labels

Label division problem - Math Online Once you have the answer, do the problem in reverse using multiplication (5 x 13 = 65) to make sure your answer 943+ Tutors 9.7/10 Ratings

Orientation of respondents in quality labels | Download ...

Orientation of respondents in quality labels | Download ...

Sustainability labels could solve Bay Street's greenwashing problem ... The federal government, technical experts and 25 banks, insurance companies and pension funds holding $10 trillion in assets are at work on what they call science-based "sustainability labels ...

Estimation Word Problems and Activities Print and Digital TpT ...

Estimation Word Problems and Activities Print and Digital TpT ...

How To Label A Division Problem | Math - ShowMe How To Label A Division Problem by Caitlin Lee - December 4, 2012.

Machine learning with limited labels: How to get the most out ...

Machine learning with limited labels: How to get the most out ...

PDF Division - Divisor, Dividend, Quotient 5 (answer) 3 15 dividend Division - Divisor, Dividend, Quotient It is important to know the different labels within a division problem. Each part of a division equation (problem) has a specific label (name). 5 quotient (answer) divisor 3 15 dividend. 15 ÷ 3 = 5 . Solve and label each part of the problem (equation): 4 8 Divisor ____ 3 9 Quotient ____

Solved Part A - Two types of cell division Drag the labels ...

Solved Part A - Two types of cell division Drag the labels ...

Free Printable Division Flashcards [PDF Included] A two-digit number divided by single-digit: Demonstrate first the concepts like dividend, divisor, quotient, and remainder. Also, couple the concept of odd and even numbers with the division method. All these preparations can beat the challenges and make teaching with flashcards more effective.

The parts of division

The parts of division

Label a division problem | Zens Label a division problem The answer to the division problem. The number being divided. The number of groups. The leftover that won't fit into equal groups. Question 11. 60 seconds. Q. In the problem: 21 ÷ 5 = 4 Solve Now

About Axis Labels

About Axis Labels

Label Parts of a division problem | Mathematics - Quizizz Label Parts of a division problem | Mathematics - Quizizz Label Parts of a division problem 3rd grade Played 0 times Mathematics a few seconds ago by jwhite_82153 0 Save Edit Live modes Start a live quiz Asynchronous learning Assign homework 27 questions Preview Show answers Question 1 120 seconds Q. What is a dividend? answer choices

TTBGov - Distilled Spirits Labeling: Health Warning Statement

TTBGov - Distilled Spirits Labeling: Health Warning Statement

Division worksheets | K5 Learning Division facts practice (tables 1-12) Multiplication and division fact families Division facts with missing dividend or divisors Dividing by 10 Dividing by 100 Divide by whole 10s Divide by whole hundreds Divide 3 or 4 digit numbers by 1 digit numbers (no remainders) Division with remainders (1-100)

Goal Labels - Number and Place Value (Upper Primary) | Teach ...

Goal Labels - Number and Place Value (Upper Primary) | Teach ...

Label a division problem | Math Online How To Label A Division Problem . If you're told that 20 apples cost $40.00, you would divide $40 into groups of 20 to represent the money spent per apple.

Multiplication and Division Bar Model Word Problems with Cut and Paste  Labels

Multiplication and Division Bar Model Word Problems with Cut and Paste Labels

Division Word Problems Worksheets - Math Worksheets 4 Kids These printable worksheets involve division word problems with three-digit dividends and single digit divisors. Apply long division method to solve each problem. Three-digit by Two-digit Word Problems. This set of word problems will require the student to perform division operations involving three-digit numbers and two-digit numbers.

How to Label Data for Machine Learning: Process and Tools ...

How to Label Data for Machine Learning: Process and Tools ...

Label Parts of a division problem problems & answers for ... - Quizizz Label Parts of a division problem problems & answers for quizzes and worksheets - Quizizz Find and create gamified quizzes, lessons, presentations, and flashcards for students, employees, and everyone else. Get started for free!

Parts of a Number Sentence - Multiplication and Division ...

Parts of a Number Sentence - Multiplication and Division ...

Label parts A, B, C, and D of the given division problem. - Byju's Label parts A,B,C, and D of the given division problem. ; A. A = remainder, B = divisor, C = divisor, D = quotient · No worries! We've got your back. Try BYJU'S ...

Green Classroom Labels - The Teacher's Craft

Green Classroom Labels - The Teacher's Craft

How to Solve Division Problems – Math Blog for Differentiation There are three main parts to a division problem: the dividend, the divisor, and the quotient. The dividend is the number that will be divided. The divisor is ...

TTBGov - Wine Labeling: Health Warning Statement

TTBGov - Wine Labeling: Health Warning Statement

Parts Of A Division Problem Teaching Resources | TPT - TeachersPayTeachers This set will help students remember the vocabulary associated with a basic division problem!⭐WHAT'S INCLUDED: 24 task cards in color identifying dividend, divisor and quotient 24 task cards in ink saving black and white identifying dividend, divisor and quotient (same problems as the set in color) Recording sheet Answer Key Poster for …

KS1 Multiplication and Division Word Problems Sticky Labels

KS1 Multiplication and Division Word Problems Sticky Labels

Multiplication and Division Word Problems Labels - Twinkl Use this set of challenge stickers to reinforce Year 2 multiplication and division questions. Great to use as an opening, finishing or take home activity to, this assortment of challenges comes in three different printable sizes to fit Avery labels - 21, 14 and 7 per A4 page. The above video is from a third-party source.

Drug labelling - Wikipedia

Drug labelling - Wikipedia

About Axis Labels

About Axis Labels

3rd Grade Word Problems Using Close Reading Google Slides ...

3rd Grade Word Problems Using Close Reading Google Slides ...

Lesson 1-5 Chemistry Problem Solving Metric and Unit ...

Lesson 1-5 Chemistry Problem Solving Metric and Unit ...

A constant factor approximation algorithm for a class of ...

A constant factor approximation algorithm for a class of ...

KS1 Multiplication and Division Word Problems Sticky Labels

KS1 Multiplication and Division Word Problems Sticky Labels

Understanding a Prescription Label - Gateway Psychiatric

Understanding a Prescription Label - Gateway Psychiatric

Yaskawa Case Study

Yaskawa Case Study

Math Posters | Math labels, Math, Problem solving strategies

Math Posters | Math labels, Math, Problem solving strategies

How To Read Food and Beverage Labels | National Institute on ...

How To Read Food and Beverage Labels | National Institute on ...

TTBGov - Wine Labeling: Appellation of Origin

TTBGov - Wine Labeling: Appellation of Origin

Division Strategies – Poster Set | Teach Starter

Division Strategies – Poster Set | Teach Starter

Year 4 MATHEMATICS Australian Curriculum

Year 4 MATHEMATICS Australian Curriculum "I Can" Rubric and Label Package - Mrs. Strawberry

Parts of a Division Problem: Dividend, Divisor, Quotient, & Remainder |  Math with Mr. J

Parts of a Division Problem: Dividend, Divisor, Quotient, & Remainder | Math with Mr. J

TTBGov - Distilled Spirits Labeling: Name and Address

TTBGov - Distilled Spirits Labeling: Name and Address

Classic Fraction Strips in Black and White Without Labels

Classic Fraction Strips in Black and White Without Labels

Teaching Students How to Justify Answers in Math - Teaching ...

Teaching Students How to Justify Answers in Math - Teaching ...

KS1 Multiplication and Division Word Problems Sticky Labels

KS1 Multiplication and Division Word Problems Sticky Labels

Math 13700 Fraction Division Quiz Project 2013 The purpose of ...

Math 13700 Fraction Division Quiz Project 2013 The purpose of ...

About Axis Labels

About Axis Labels

The compound BrDU labels actively dividing cells. Which cells, are likely  to accumulate the most BrDU?, Group of answer choices, a) Quiescent stem  cells in young adults, b) Mature lens fiber cells in ...

The compound BrDU labels actively dividing cells. Which cells, are likely to accumulate the most BrDU?, Group of answer choices, a) Quiescent stem cells in young adults, b) Mature lens fiber cells in ...

5 Rolls of DK-1203 Compatible Labels for BROTHER 2/3

5 Rolls of DK-1203 Compatible Labels for BROTHER 2/3" x 3-7 ...

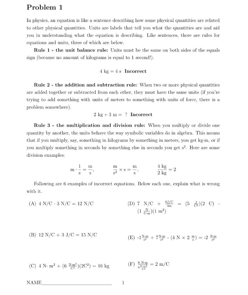
Solved Problem 1 In physics, an equation is like a sentence ...

Solved Problem 1 In physics, an equation is like a sentence ...

Newfound Brain Switch Labels Experiences as Good or Bad ...

Newfound Brain Switch Labels Experiences as Good or Bad ...

KS1 Multiplication and Division Word Problems Sticky Labels

KS1 Multiplication and Division Word Problems Sticky Labels

Post a Comment for "45 labels for division problems"